中文字幕免费一区,欧美h版电影,老司机深夜福利在线观看,亚洲日本成人在线观看,国产一级一片

歡迎來到河南太平洋線纜有限公司官網,我們將提供今日電纜價格。 經銷合作 聯系我們 網站地圖

河南太平洋線纜有限公司

高低壓電線電纜生產廠家 ——河南太平洋線纜有限公司

24小時咨詢服務熱線 15838252668   
太平洋線纜新聞動態
國標鋁芯電纜的規格型號及其載流量
來源: 太平洋電線電纜 發布日期: 2020.06.16 瀏覽次數:
信息摘要:
雖然現在很多場合都采用銅電纜替代鋁電纜,但是鋁芯電纜還是堅挺在市場中,占有一定的份額。鄭州電線電纜廠家-河南太平線纜為大家介紹國標鋁電纜的規…

   雖然現在很多場合都采用銅電纜替代鋁電纜,但是鋁芯電纜還是堅挺在市場中,占有一定的份額。鄭州電線電纜廠家-河南太平線纜為大家介紹國標鋁電纜的規格型號及其載流量。

一、國標鋁電纜型號:BLVYJLVYJLV22VLVVLV22等。

二、國標鋁電纜的規格:

1、BLV電纜型號:1.5平方,2.5平方,4平方,6平方,10平方,16平方,25平方,35平方,50平方。

2、VLV/VLV22電纜型號:10平方,16平方,25平方,35平方,50平方,70平方,95平方,120平方,150平方,185平方,240平方,300平方,400平方。

3、YJLV/YJLV22電纜型號:10平方,16平方,25平方,35平方,50平方,70平方,95平方,120平方,150平方,185平方,240平方,300平方,400平方。

  目前,YJLV/YJLV22電纜逐漸替代VLV/VLV22電纜,所以,現在大家使用的國標鋁芯電力電纜多為YJLV/YJLV22電纜。

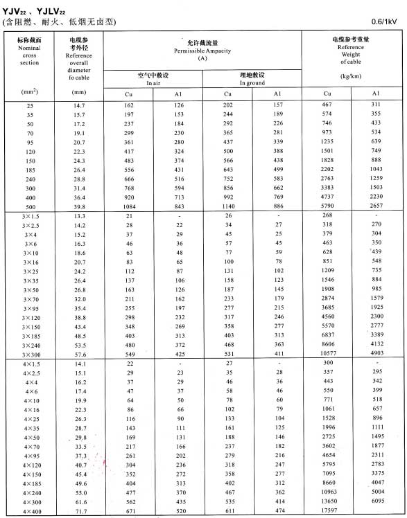
 三、國標鋁電纜的載流量

YJLV電纜的載流量如下:

YJLV鋁芯電纜型號規格及載流量

YJLV22電纜的載流量如下:

YJLV22鋁芯電纜型號規格及載流量

以上就是關于國標鋁電纜的規格型號及其載流量的介紹,購買國標鋁電纜認準河南太平洋線纜,電纜廠家直銷,真正做到讓利給用戶,價格更具競爭力! 河南太平洋線纜有限公司(http://www.yzjiangye.com)為您提供的YJLV/YJLV22低壓電力電纜現貨型號規格有:YJLV 單芯 35-630平方,YJLV/YJLV22 3芯10-300平方,YJLV/YJLV22 4+1芯25-400平方,YJLV/YJLV22電纜 2芯10-95平方,YJLV/YJLV22 3+1芯10-500平方,YJLV/YJLV22 3+2芯10-500平方,YJLV/YJLV22 4芯10-400平方,YJLV/YJLV22 5芯10-50平方。  低壓鋁芯電纜型號齊全,國標保檢測,歡迎新老客戶詢價采購!400-002-0068

 

免責聲明:以上內容及圖片部分來源于網絡,版權歸原作者所有。如有侵權請聯系我們刪除。

咨詢熱線

15838252668